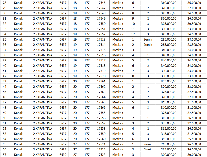
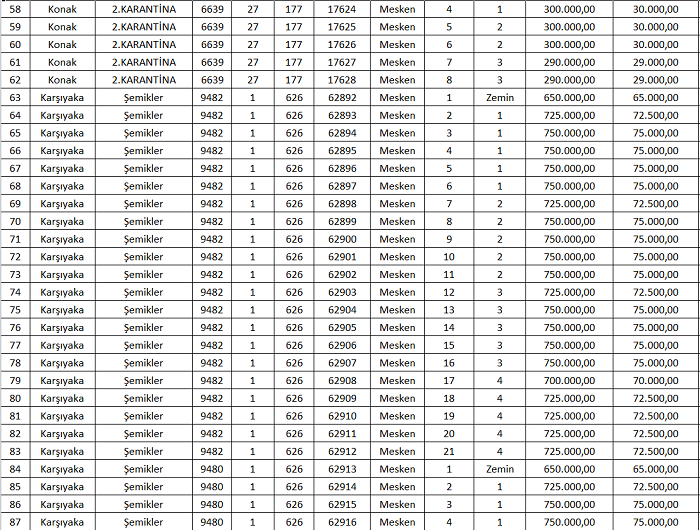
Milli Emlak İzmir’in Konak, Karşıyaka, Karabağlar ve Selçuk ilçesinde bulunan 132 kamu konutunu satışa çıkardı. Satışa çıkarılan konutlardan 128 tanesi Konak ve Karşıyaka’da 2 tanesi Karabağlar’da 2 tanesi Selçuk’ta bulunuyor.
Satışa sunulan konutların fiyatları 100 bin TL ile 500 bin TL arasında değişiyor.
Açık artırma ihalesi 25-28-29 Aralık 2020, 5-6-7-12-13-14-19-20 Ocak 2021 tarihlerinde gerçekleşecek.
KONAK EMLAK MÜDÜRLÜĞÜNDEN TAŞINMAZ İHALE İLANI
LOJMAN SATIŞ İHALE İLANI





1- Yukarıdaki tabloda belirtilen taşınmazların 2886 sayılı kanunun 45. maddesine göre satış ihaleleri Çevre ve Şehircilik İl Müdürlüğü Ana Hizmet Binası (Eski Bina) Anadolu Caddesi 41/5 Bayraklı/İZMİR adresindeki binasının giriş katında bulunan toplantı salonunda komisyon huzurunda belirtilen gün ve saatte yapılacaktır.
2- Satış ihaleleri yapılacak taşınmazlara ilişkin şartname ve ekleri Konak Emlak Müdürlüğünde ücretsiz olarak görülebilir.
3- İhaleye katılacak isteklilerin aşağıda belirtilen belgeleri ihale başlama saatine kadar İhale Komisyon Başkanlığına teslim etmeleri veya iadeli taahhütlü posta yoluyla ulaştırmaları gerekmekte olup, posta ile yapılacak müracatlarda teklifin 2886 D.İ.K 37 inci maddesine uygun olarak hazırlanması ve teklifin ihale saatinden önce komisyona ulaşması şarttır, postada meydana gelecek gecikmeler kabul edilmeyecektir.
a) Gerçek kişilerin; Yasal yerleşim yeri belgesini (İkametgah ilmuhaberi) ile Nüfus kayıt örneği veya arkalı-önlü nüfus cüzdanı fotokopisinin,
b) Özel hukuk tüzel kişilerinin, yukarıda belirtilen şartlardan ayrı olarak, idare merkezlerinin bulunduğu yer mahkemesinden veya siciline kayıtlı bulunduğu ticaret veya sanayi odasından yahut benzeri meslekî kuruluştan, ihalenin yapıldığı yıl içinde alınmış sicil kayıt belgesi ile tüzel kişilik adına ihaleye katılacak veya teklifte bulunacak kişilerin tüzel kişiliği temsile tam yetkili olduklarını gösterir noterlikçe tasdik edilmiş imza sirkülerini veya vekâletnameyi vermeleri; kamu tüzel kişilerinin ise, yukarıdaki (b) ve (d) bentlerinde belirtilen şartlardan ayrı olarak tüzel kişilik adına ihaleye katılacak veya teklifte bulunacak kişilerin tüzel kişiliği temsile yetkili olduğunu belirtir belge.
c) Geçici Teminata ilişkin belge (Geçici Teminat Makbuzu, Mevduat veya Katılım Bankalarının verecekleri 2886 sayılı Devlet İhale Kanununa göre düzenlenmiş ve İlgili Banka şubesince verilen teminat mektupları toplamı ile aynı şubenin limitlerinin de gösterildiği süresiz Teminat Mektubu, Devlet İç Borçlanma Senetleri veya bu senetler yerine düzenlenen belgeler), İhale saatine kadar Komisyon Başkanlığına verilmesi gerekmektedir.
4- 4706 sayılı Kanunun 7 nci maddesinin dördüncü fıkrası ile 3065 sayılı Katma Değer Vergisi Kanununun 17 nci maddesinin dördüncü fıkrasının (p) bendi gereğince, mülkiyeti Hazineye ait kamu konutlarının satış ve devir işlemleri ve bu işlemler sırasında düzenlenen belgeler, vergi, resim ve harçtan müstesnadır. Satışı yapılan kamu konutu, satış tarihini takip eden yıldan itibaren beş yıl süre ile emlak vergisine tâbi tutulmaz ”
5- (1) Kat mülkiyeti veya kat irtifakı kurulan kamu konutlarından ihalenin yapıldığı tarihte; adlarına görev, sıra ve hizmet tahsisli kamu konutu tahsis edilen (şartlı tahsisler dahil) ve fiilen konutta oturanlar öncelikli alım hakkına sahiptir.
(2) Öncelikli alım hakkı sahibinin kamu konutunu satın almak istemediğini bildirmesi, süresi içerisinde herhangi bir bildirimde bulunmaması ya da yükümlülüklerini yerine getirmemesi halinde, en yüksek teklifi veren istekli tarafından satış bedeli peşin veya Kanunun 5 inci maddesinin birinci fıkrasında belirtilen şekilde en az dörtte biri peşin, kalanı en fazla iki yılda ve taksitlerle kanunî faizi ile birlikte ödenebilir.
(3) Öncelikli alım hakkı sahibinin; kamu konutunu satın almak istemesi ve süresi içerisinde satış bedelini peşin olarak ödemesi veya peşinatı ödeyerek Taksitli Satış Sözleşmesini imzalaması halinde bu durum İhalede en yüksek teklifi veren isteklisine bildirilir.
(4) Bedelin yetkili kredi kuruluşlarından kredi temin edilerek ödenmek istenilmesi halinde, alıcı tarafından kredi kuruluşu ile yapılan kredi sözleşmesi veya kredi açıldığına dair kredi kuruluşunun resmî yazısı verilir ve kredi kuruluşu tarafından bedel ilgili muhasebe biriminde açılacak emanet hesabına aktarılması halinde İdarece, tapu müdürlüklerine kredi kuruluşu lehine ipotek tesis edilmesi ve alıcı adına tescil işleminin yapılması hususu yazıyla bildirilir. ”
6- Listedeki DOLU olarak belirtilen bağımsız bölümlerde öncelikli alım hakkına sahip fiilen oturanlar bulunmakta olup, detaylı bilgi Konak Emlak Müdürlüğünden alınabilir.
7- Listede 92. sırada yer alan kamu konutu dolu olmasına rağmen, oturan kişinin öncelikli alım hakkı bulunmamaktadır.
8-İhaleye iştirak edecek isteklilerin ihale salonu ile İdare binasının içinde ve çevresinde Covid-19 tedbirleri gereğince maske kullanmaları ve sosyal mesafe kurallarına uymaları önem arz etmektedir.
9- Komisyon ihaleyi yapıp yapmamakta serbesttir.
10- Bu ihaleye ilişkin bilgiler www.izmir.csb.gov.tr. adresinden öğrenilebileceği gibi,Türkiye genelindeki ihale bilgileri www.milliemlak.gov.tr adresinden de öğrenilebilir.
BİLGİ İÇİN İLETİŞİM TELEFONU : (232) 341 68 00
İLAN OLUNUR.

